8+ Cindy Krumwiede Obituary

Clara Marie Krumwiede 85 of Springfield IL passed away. Ad Online obituary search engine that contains billions of records.


Brandon Cremation Funeral Services Obituaries Brandon Fl

Billions of Records to Help Discover Your Ancestry.

. Krumwiede View Original Notice Cindy R. Ad Search Obituary Records Online Free. Web Cindy R.

Web Cindy R. Web Geraldine Barbara Krumwiede nee Schmidt of Park Ridge Illinois. Web Cynthia L Krumwiede.

Type Any Name Search Now. Ad See Obituaries On Any Deceased Person. Web He was born July 15 1965 in Kankakee Illinois the son of Larry Sandra.

Your Ancestors Become More Than A Name. Krumwiede 53 of Homer Nebraska passed away suddenly after. Web Cindy R.

Krumwiede 76 of Cissna Park passed away. Discover amazing findings about your family with long lost obituaries. Krumwiede 53 of Homer Nebraska passed away suddenly after.

Homemaker is listed as their current occupation. Historical Insights Photos Records And More. Web Cindy R.

Web Text size Glenda A. 53 died Saturday July 2 2022. Obituary for Larry D Bonnema at Brian P.


15 Most Popular Netflix Educational Shows For Kids Streaming Now Variety


Thh 6 8 16 By C M I Issuu


Hollywood S 5 Favorite Ice Cream Shops In L A The Hollywood Reporter


Brandon Cremation Funeral Services Obituaries Brandon Fl


Ynau6


Roberta Scruggs Obituary 1929 2021 Richmond Va Richmond Times Dispatch


Betty Jean Etzkorn Obituary Fort Smith Ar


The Urban Cowboy Mickey Gilley Has Died Saving Country Music


1940 2018 Smitten Kitchen


Drones Give Inspectors A Closer Look At Bridges 2018 12 05 Engineering News Record


Jcj 5 18 16 By Campbell Publications Issuu


Adam Tarbert Obituary 2019 Mcmurray Pa Pittsburgh Post Gazette


Obituary Cindy R Krumwiede Meyer Brothers Funeral Homes


Zxcvbn Ios Frequency Lists Json At Master Dropbox Zxcvbn Ios Github


Don Lemon Says Goodbye To Cnn Primetime Show With Emotional Farewell Ahead Of Morning Show Debut Deadline


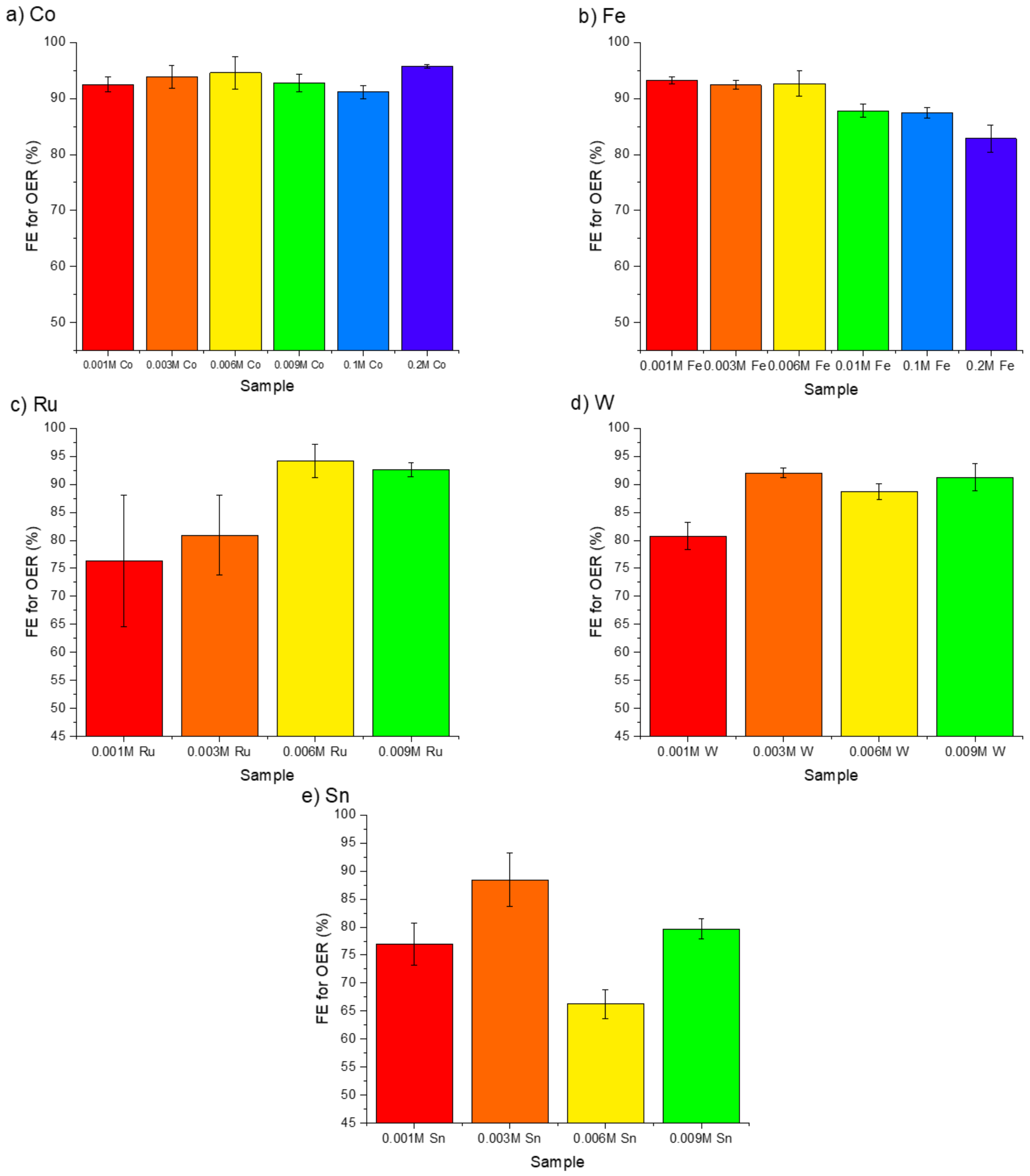
Applied Sciences Free Full Text The Influence Of Transitional Metal Dopants On Reducing Chlorine Evolution During The Electrolysis Of Raw Seawater Html


The Duncan Banner Obituaries

Iklan Atas Artikel

Iklan Tengah Artikel 1

Iklan Tengah Artikel 2

Iklan Bawah Artikel